TRČEK & CO.
Gasilni aparati - servis gasilnih aparatov, prodaja in preizkusi opreme
Servisiranje in pregled hidrantov
Opravljamo tudi preglede hidrantov in opravljanje tlačnega preizkusa hidrantnega omrežja za katerega Vam izdamo tudi poročilo.
Servisiramo in pregledujemo tudi avtomatske hidrantne omarice podjetja BARTH.
Pooblaščeni smo za izdajanje potrdil o brezhibnosti hidrantnega omrežja s strani Uprave RS za zaščito in reševanje s pooblastilom št. 8450-49/2009-2.
Povzetek Pravilnika o preizkušanju hidrantnih omrežij iz Uradnega lista RS št. 22/1995 s spremembami iz Uradnega lista RS št. 102/2009
Lastnik, uporabnik ali upravljavec stanovanjskih, poslovnih ter industrijskih objektov (v nadaljnjem besedilu: zavezanec) si mora pred pričetkom uporabe vgrajenega hidrantnega omrežja pridobiti potrdilo o brezhibnem delovanju hidrantnega omrežja (v nadaljnjem besedilu: potrdilo) za:
- novo vgrajena hidrantna omrežja;
- razširitev hidrantnega omrežja;
- spremenjeni ali zamenjani del hidrantnega omrežja.
Zavezanec lahko izvajalca del pooblasti za pridobitev potrdila pred dokončno predajo objekta v uporabo.
Hidrantna omrežja, za katera si mora zavezanec pridobiti potrdilo, so:
- vsi objekti in naprave, s katerimi se voda od vira za oskrbo z vodo po cevovodih dovaja do hidrantnih priključkov, ki se neposredno uporabljajo za gašenje požara ali pa se nanje priključijo gasilna vozila z vgrajenimi črpalkami ali prenosne gasilne črpalke;
- stalni postroji za zajemanje vode (to so postroji za posredno napajanje hidrantnega omrežja po stacionarnem omrežju);
- suha hidrantna omrežja (to so vse naprave v objektu, ki so v normalnih razmerah brez vode, ob požaru pa se uporabljajo za to, da se voda za gašenje požara prepelje od gasilnih vozil ali drugih virov za oskrbo z vodo do kraja porabe).
Hidrantna omrežja lahko preizkušajo fizične in pravne osebe (v nadaljnjem besedilu: izvajalci), ki izpolnjujejo naslednje pogoje:
- registrirani morajo biti za tehnične preizkuse in analize (opravljanje dejavnosti preizkušanja gasilnotehničnih sredstev);
- zaposlenega morajo imeti vsaj enega delavca (v nadaljevanju: tehnični nadzornik), ki preizkuša hidrantna omrežja, mora
izpolnjevati pogoje iz tretjega odstavka tega člena;
- imeti morajo ustrezno tehnično opremo, ki je določena s tem pravilnikom.
Izvajalec mora imeti pooblastilo Uprave Republike Slovenije za zaščito in reševanje (v nadaljnjem besedilu: uprava) za preizkus hidrantnih omrežij (v nadaljnjem besedilu: pooblastilo).
Delavci iz druge alinee prvega odstavka tega člena morajo imeti najmanj V. stopnjo izobrazbe strojne ali gasilske smeri ter najmanj eno leto delovnih izkušenj pri preizkušanju hidrantnega omrežja.
Hidrantna omrežja lahko preizkuša izvajalec, če ima naslednjo opremo:
- prehodni kos z dvema B spojkama in s priključkom za manometer v sredini - 2 kosa;
- prehodno spojko B - C - 2 kosa;
- orodje za delo s podzemnim hidrantom (ključ za hidrant, nastavek z enim B iztokom, ključ za spojke) - 2 kompleta;
- slepo spojko C - 2 kosa;
- ročnik s pipo - navadni C - 1 kos;
- ustnike za ročnike Ø 8, 10, 12, 16, 18, 20;
- tabelo za določanje iztoka iz ročnika pri izmerjenem tlaku pri različnih šobah (Tabela 1 v prilogi);
- manometer za vodo; 0-15 bar, razred natančnosti 1 (Pravilnik o metroloških pogojih za manometre, vakuumetre in manovakuumetre, Uradni list SFRJ, št. 30/86).
Hidrantno omrežje preizkusi pooblaščeni izvajalec na zahtevo zavezanca najkasneje v tridesetih dneh od vložitve zahteve.
Izvajalec mora zavezancu predhodno napovedati dan preizkušanja.
Izvajalec ne more preizkušati hidrantnega omrežja, ki ga je sam projektiral, gradil ali nadzoroval gradnjo. Morebitni pregled projekta ali predhodni pregled hidrantnega omrežja med gradnjo se ne šteje za projektiranje in nadzor.
Pri pregledu sistemov mora sodelovati zavezanec ali oseba, ki jo pooblasti zavezanec. Preizkus hidrantnega omrežja je sestavljen iz pregleda dokumentacije in preizkusa hidrantnega omrežja.
Zavezanec mora predložiti na vpogled potrjeno projektno dokumentacijo za hidrantno omrežje.
Hidrantno omrežje izvajalec preizkuša po tem postopku (skica 1):
Skica 1
1. Izmeri in zapiše se statični tlak na hidrantu A in B (to je tlak ps (bar)).
2. Na hidrant A se namesti ročnik s šobo od Ø 8 do Ø 20 (izbere se tako šobo, da bo padel tlak na hidrantu A pri odprtju ročnika za približno 1 bar od prej izmerjenega ps).
3. Zasun hidranta A se odpre do konca. Vodo se pusti teči 1 minuto tako, da se tok umiri in odčita tlak na hidrantu A in hidrantu B. Tlak na hidrantu B se vpiše v razpredelnico (Merilni list) pod prB, tlak na hidrantu A pa pod prA.
4. Po Tabeli 1 (v prilogi) se odčita količino vode (l/s), ki izteče iz ročnika pri tlaku prA. Ta količina se vpiše v razpredelnico (Merilni list) pod Q.
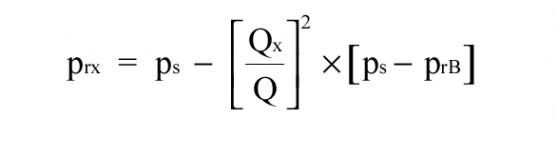
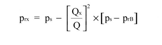
5. Z enačbo (1) se izračuna, za koliko bo padel tlak v mreži (prx), če bo poraba vode večja od Q, pri čemer se izbere poljubno večjo porabo vode Qx v l/s.
Enačba 1
6. Če je treba, se z enačbo (2) izračuna, koliko vode bo mreža dajala, če se pusti, da tlak pri iztekanju vode pade pod vrednost pr.
Enačba 2
prx - izbrani tlak, nižji od pr
Če so hidranti na slepem vodu, se pazi na smer toka vode (tako kot na skici 1).
8. Če so hidranti na krožnem vodu, naj bosta hidranta A in B čim bolj narazen. Izidi meritev se vpisujejo v Merilni list.

Merilni list
Po opravljenem preizkusu hidrantnega omrežja mora izvajalec najkasneje v desetih dneh pripraviti pisno poročilo in ga poslati zavezancu.
Poročilo mora vsebovati ugotovitve preizkusa s poudarkom na pomanjkljivostih, ki jih mora zavezanec odpraviti, preden se mu izda potrdilo o brezhibnem delovanju.
Poročilu se priložita merilni in hidrantni list, ki je sestavni del tega pravilnika.
Po odpravi pomanjkljivosti mora izvajalec ponovno pregledati del sistema, kjer je bilo treba odpraviti pomanjkljivosti.
O opravljenem ponovnem preizkusu hidrantnega omrežja se pripravi dodatno poročilo.
Če so bile pri preizkusu ugotovljene le nebistvene pomanjkljivosti, ki ne vplivajo na brezhibno delovanje sistema, se izda potrdilo brez opravljenega ponovnega preizkusa na podlagi pisne izjave zavezanca, da je odpravil ugotovljene pomanjkljivosti.
Če zavezanec v treh mesecih ne odpravi pomanjkljivosti in ne obvesti izvajalca, da je napako odpravil, izvajalec obvesti pristojno izpostavo inšpektorata.Izvajalec izda potrdilo po uspešno opravljenem preizkusu, in sicer:
- na podlagi poročila, če ni pomanjkljivosti;
- na podlagi obvestila zavezanca, da je pomanjkljivosti odpravil, če so bile ugotovljene le nebistvene pomanjkljivosti;
- na podlagi dodatnega poročila, ko se na ponovnem preizkusu hidrantnega omrežja ugotovi, da je zavezanec odpravil vse pomanjkljivosti.
Izvajalec mora pripraviti poročilo o opravljenem preizkusu hidrantnega omrežja in potrdilo o brezhibnem delovanju hidrantnega omrežja v dveh izvodih. En izvod vroči zavezancu, enega pa shrani pri sebi.
Izvajalec mora hraniti dokumentacijo iz prejšnjega odstavka deset let.
Zavezanec mora zagotoviti redni tehnični nadzor hidrantnega omrežja (v nadaljnjem besedilu: nadzor).
Nadzor po tem pravilniku obsega vizualni pregled in merjenje statičnega tlaka na zunanjem hidrantem omrežju.
Vizualni pregled obsega:
- pri zunanjem hidrantnem omrežju pregled stanja hidrantov, pripadajoče opreme hidrantov, ki so predvideni za direktno gašenje, njihovih oznak in preizkus delovanja;
- pri notranjih hidrantih stanje cevi, ročnika in tesnost;
- pri suhih hidrantih stanje cevi in ročnika.
Po pregledu je potrebno omarice notranjega hidrantnega omrežja in omarice s pripadajočo opremo za zunanje hidrante zaplombirati.
Nadzor lahko opravlja tehnični nadzornik oziroma oseba, ki ima IV. stopnjo izobrazbe gasilske ali kovinske smeri.
Nadzor se opravlja najmanj enkrat letno, dokumentacijo o nadzoru hrani zavezanec.
Stroške preizkušanja hidrantnega omrežja krije zavezanec.